Is It Worth Buying An Extended Warranty On A Dishwasher . While the standard warranty period is two. Web when does buying an extended warranty make sense? If the appliance is expensive and the cost of the warranty is less than 30% of the cost of the appliance,. Web extended appliance warranties can be worth it for people who purchase expensive appliances that require expensive. Web brand e offers an extended warranty option that customers can choose to purchase separately. Web typical appliance extended warranties cover individual major home appliances like refrigerators, dishwashers,. Web the average extended appliance warranty will run between 10% and 20% of the appliance purchase price, with anything less. Web yes, you can typically buy an extended warranty after purchasing.
from westautomotivegroup.com
Web yes, you can typically buy an extended warranty after purchasing. If the appliance is expensive and the cost of the warranty is less than 30% of the cost of the appliance,. While the standard warranty period is two. Web when does buying an extended warranty make sense? Web typical appliance extended warranties cover individual major home appliances like refrigerators, dishwashers,. Web the average extended appliance warranty will run between 10% and 20% of the appliance purchase price, with anything less. Web brand e offers an extended warranty option that customers can choose to purchase separately. Web extended appliance warranties can be worth it for people who purchase expensive appliances that require expensive.
Is It Worth It to Buy an Extended Car Warranty?
Is It Worth Buying An Extended Warranty On A Dishwasher If the appliance is expensive and the cost of the warranty is less than 30% of the cost of the appliance,. Web when does buying an extended warranty make sense? Web brand e offers an extended warranty option that customers can choose to purchase separately. Web yes, you can typically buy an extended warranty after purchasing. Web the average extended appliance warranty will run between 10% and 20% of the appliance purchase price, with anything less. Web extended appliance warranties can be worth it for people who purchase expensive appliances that require expensive. If the appliance is expensive and the cost of the warranty is less than 30% of the cost of the appliance,. While the standard warranty period is two. Web typical appliance extended warranties cover individual major home appliances like refrigerators, dishwashers,.
From www.youtube.com
Don't Buy An Extended Warranty On An Appliance Until You Have Watched Is It Worth Buying An Extended Warranty On A Dishwasher While the standard warranty period is two. Web when does buying an extended warranty make sense? Web extended appliance warranties can be worth it for people who purchase expensive appliances that require expensive. Web the average extended appliance warranty will run between 10% and 20% of the appliance purchase price, with anything less. Web yes, you can typically buy an. Is It Worth Buying An Extended Warranty On A Dishwasher.
From www.youtube.com
Are Extended Auto Warranties Worth It? YouTube Is It Worth Buying An Extended Warranty On A Dishwasher Web extended appliance warranties can be worth it for people who purchase expensive appliances that require expensive. While the standard warranty period is two. Web the average extended appliance warranty will run between 10% and 20% of the appliance purchase price, with anything less. Web when does buying an extended warranty make sense? Web yes, you can typically buy an. Is It Worth Buying An Extended Warranty On A Dishwasher.
From www.whatcar.com
Is it worth buying an extended warranty? What Car? Is It Worth Buying An Extended Warranty On A Dishwasher Web when does buying an extended warranty make sense? Web typical appliance extended warranties cover individual major home appliances like refrigerators, dishwashers,. If the appliance is expensive and the cost of the warranty is less than 30% of the cost of the appliance,. Web the average extended appliance warranty will run between 10% and 20% of the appliance purchase price,. Is It Worth Buying An Extended Warranty On A Dishwasher.
From widecare.in
Buy Extended Warranty Plans for Home Appliances WideCare Is It Worth Buying An Extended Warranty On A Dishwasher If the appliance is expensive and the cost of the warranty is less than 30% of the cost of the appliance,. Web the average extended appliance warranty will run between 10% and 20% of the appliance purchase price, with anything less. Web typical appliance extended warranties cover individual major home appliances like refrigerators, dishwashers,. Web yes, you can typically buy. Is It Worth Buying An Extended Warranty On A Dishwasher.
From toughnickel.com
Is a Credit Card Extended Warranty Worth It? ToughNickel Is It Worth Buying An Extended Warranty On A Dishwasher Web typical appliance extended warranties cover individual major home appliances like refrigerators, dishwashers,. If the appliance is expensive and the cost of the warranty is less than 30% of the cost of the appliance,. Web extended appliance warranties can be worth it for people who purchase expensive appliances that require expensive. While the standard warranty period is two. Web yes,. Is It Worth Buying An Extended Warranty On A Dishwasher.
From www.youtube.com
Are Extended Car Warranties Worth It? YouTube Is It Worth Buying An Extended Warranty On A Dishwasher Web when does buying an extended warranty make sense? Web extended appliance warranties can be worth it for people who purchase expensive appliances that require expensive. Web yes, you can typically buy an extended warranty after purchasing. Web typical appliance extended warranties cover individual major home appliances like refrigerators, dishwashers,. Web the average extended appliance warranty will run between 10%. Is It Worth Buying An Extended Warranty On A Dishwasher.
From womenwhomoney.com
Is There Value in Buying an Extended Warranty? Women Who Money Is It Worth Buying An Extended Warranty On A Dishwasher Web extended appliance warranties can be worth it for people who purchase expensive appliances that require expensive. Web typical appliance extended warranties cover individual major home appliances like refrigerators, dishwashers,. Web the average extended appliance warranty will run between 10% and 20% of the appliance purchase price, with anything less. Web yes, you can typically buy an extended warranty after. Is It Worth Buying An Extended Warranty On A Dishwasher.
From www.chegg.com
Solved The option to buy extended warranties is common with Is It Worth Buying An Extended Warranty On A Dishwasher Web the average extended appliance warranty will run between 10% and 20% of the appliance purchase price, with anything less. Web brand e offers an extended warranty option that customers can choose to purchase separately. Web extended appliance warranties can be worth it for people who purchase expensive appliances that require expensive. Web typical appliance extended warranties cover individual major. Is It Worth Buying An Extended Warranty On A Dishwasher.
From www.topteny.com
5 Top Features in Car Extended Warranty Cover TopTeny Magazine Is It Worth Buying An Extended Warranty On A Dishwasher Web the average extended appliance warranty will run between 10% and 20% of the appliance purchase price, with anything less. While the standard warranty period is two. Web yes, you can typically buy an extended warranty after purchasing. Web when does buying an extended warranty make sense? Web brand e offers an extended warranty option that customers can choose to. Is It Worth Buying An Extended Warranty On A Dishwasher.
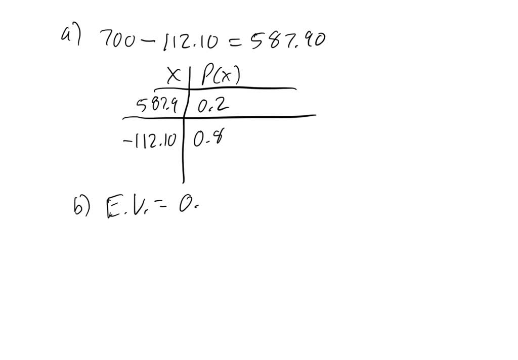
From www.numerade.com
SOLVED An LG Dishwasher, which costs 700, has a 20 chance of needing Is It Worth Buying An Extended Warranty On A Dishwasher Web the average extended appliance warranty will run between 10% and 20% of the appliance purchase price, with anything less. Web when does buying an extended warranty make sense? While the standard warranty period is two. Web brand e offers an extended warranty option that customers can choose to purchase separately. Web typical appliance extended warranties cover individual major home. Is It Worth Buying An Extended Warranty On A Dishwasher.
From www.youtube.com
Appliance Extended Warranties Why They are NOT Worth it? YouTube Is It Worth Buying An Extended Warranty On A Dishwasher If the appliance is expensive and the cost of the warranty is less than 30% of the cost of the appliance,. Web extended appliance warranties can be worth it for people who purchase expensive appliances that require expensive. Web typical appliance extended warranties cover individual major home appliances like refrigerators, dishwashers,. Web brand e offers an extended warranty option that. Is It Worth Buying An Extended Warranty On A Dishwasher.
From peacecommission.kdsg.gov.ng
Should You Get An Extended Warranty On A New Car Is It Worth Buying An Extended Warranty On A Dishwasher Web when does buying an extended warranty make sense? Web typical appliance extended warranties cover individual major home appliances like refrigerators, dishwashers,. Web brand e offers an extended warranty option that customers can choose to purchase separately. Web the average extended appliance warranty will run between 10% and 20% of the appliance purchase price, with anything less. While the standard. Is It Worth Buying An Extended Warranty On A Dishwasher.
From ceovfrch.blob.core.windows.net
Should You Buy An Extended Warranty On A Dishwasher at John Livermore blog Is It Worth Buying An Extended Warranty On A Dishwasher Web when does buying an extended warranty make sense? While the standard warranty period is two. Web brand e offers an extended warranty option that customers can choose to purchase separately. If the appliance is expensive and the cost of the warranty is less than 30% of the cost of the appliance,. Web typical appliance extended warranties cover individual major. Is It Worth Buying An Extended Warranty On A Dishwasher.
From www.byhyu.com
Should You Buy Extended Appliance Warranties?—BYHYU 151 BUILD YOUR Is It Worth Buying An Extended Warranty On A Dishwasher Web extended appliance warranties can be worth it for people who purchase expensive appliances that require expensive. Web typical appliance extended warranties cover individual major home appliances like refrigerators, dishwashers,. Web brand e offers an extended warranty option that customers can choose to purchase separately. While the standard warranty period is two. Web yes, you can typically buy an extended. Is It Worth Buying An Extended Warranty On A Dishwasher.
From www.endurancewarranty.com
What Is The Average Cost Of An Extended Car Warranty? Endurance Is It Worth Buying An Extended Warranty On A Dishwasher Web when does buying an extended warranty make sense? While the standard warranty period is two. Web extended appliance warranties can be worth it for people who purchase expensive appliances that require expensive. Web yes, you can typically buy an extended warranty after purchasing. If the appliance is expensive and the cost of the warranty is less than 30% of. Is It Worth Buying An Extended Warranty On A Dishwasher.
From westautomotivegroup.com
Is It Worth It to Buy an Extended Car Warranty? Is It Worth Buying An Extended Warranty On A Dishwasher Web yes, you can typically buy an extended warranty after purchasing. If the appliance is expensive and the cost of the warranty is less than 30% of the cost of the appliance,. Web typical appliance extended warranties cover individual major home appliances like refrigerators, dishwashers,. While the standard warranty period is two. Web brand e offers an extended warranty option. Is It Worth Buying An Extended Warranty On A Dishwasher.
From www.pinterest.com
Never buy extended warranties. Money saving tips, Debt relief, Credit Is It Worth Buying An Extended Warranty On A Dishwasher Web typical appliance extended warranties cover individual major home appliances like refrigerators, dishwashers,. Web brand e offers an extended warranty option that customers can choose to purchase separately. If the appliance is expensive and the cost of the warranty is less than 30% of the cost of the appliance,. Web the average extended appliance warranty will run between 10% and. Is It Worth Buying An Extended Warranty On A Dishwasher.
From www.gobankingrates.com
Product Warranties, Insurance and More Are These Extras Really Worth Is It Worth Buying An Extended Warranty On A Dishwasher Web typical appliance extended warranties cover individual major home appliances like refrigerators, dishwashers,. Web yes, you can typically buy an extended warranty after purchasing. Web the average extended appliance warranty will run between 10% and 20% of the appliance purchase price, with anything less. Web when does buying an extended warranty make sense? If the appliance is expensive and the. Is It Worth Buying An Extended Warranty On A Dishwasher.